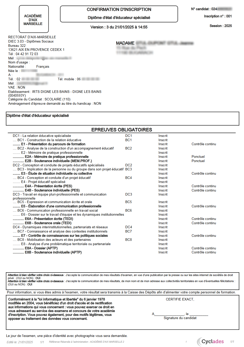
Confirmation d'inscription

En haut à droite du document, sont affichés le numéro de candidat, le numéro d’inscription et le numéro de version du document.

Attention

Ce document Confirmation d'inscription est un document officiel attestant de mon inscription.

Il est a retourner signé (avant la date indiquée) au service concerné (établissement ou service gestionnaire le cas échéant).

Exemple